Take The Square Root Of Both Sides
Take The Square Root Of Both Sides. Subtract 5 from both sides to get the x 2 term by itself. Web we have to find the solution of given equation by taking the square root of both sides.

Web i know you can square both sides and inequality sign doesn't change. Solve the equation by taking the square root of both sides. Subtract 5 from both sides to get the x 2 term by itself.
Simplifying Above Equation, We Have.
Web we have to find the solution of given equation by taking the square root of both sides. If you do not put the plus or minus, you will be. Web i know you can square both sides and inequality sign doesn't change.
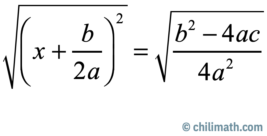
Take The Square Root Of Both Sides:
We are given the equation: Web students learn to solve quadratic equations by first isolating the squared term, then square rooting both sides of the equation. Solve the equation by taking the square root of both sides.
Web If You Try Taking The Square Root Of Both Sides Of The Original Equation, You Will Have On The Left, And You Can’t Simplify That.
Subtract 5 from both sides to get the x 2 term by itself. Note that plus or minus is always used when square. Solve the equation by taking the square root of both sides.
X^2=\Dfrac {36} {5} X2 = 536.
Web when you take the square root of both sides of an equation, you must put a plus or minus in order to obtain all the solutions. As long as both sides are positive non. Web a triangle, the square root of both sides of the equation from part b.
Solve The Equation By Taking The Square Root Of Both Sides.
$$ 6(x + 3)^2 + 20 = 12. So let's subtract 3 from both sides. The left hand side, we're just left.
Post a Comment for "Take The Square Root Of Both Sides"